ความชื้นสัมพัทธ์

ความชื้นสัมพัทธ์
ความชื้น คือ ปริมาณไอน้ำในอากาศ เรามักจะบอกระดับของความชื้นในอากาศด้วยคำว่า ความชื้นสัมพัทธ์ ซึ่งความชื้นสัมพัทธ์(relative humidity หรือ RH) คือ อัตราส่วนระหว่างปริมาณไอน้ำที่มีอยู่ในอากาศกับปริมาณไอน้ำอิ่มตัว โดยหน่วยของความหนาแน่นของไอน้ำเป็น กรัมต่อลูกบาศก์เมตร
ตัวอย่างความชื้นสัมพัทธ์
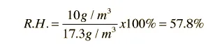
ไอน้ำมีความหนาแน่น 10 กรัมต่อลูกบาศก์เมตร ที่อุณหภูมิ 20 องศาเซลเซียส สามารถรองรับไอน้ำได้ 17.3 กรัมต่อลูกบาศก์เมตร ดังนี้ความชื้นสัมพัทธ์มีค่าเท่ากับ

จุดน้ำค้าง
ถ้าอุณหภูมิของอากาศค่อยๆ เย็นลงขณะที่ความชื้นมีปริมาณคงที่ ความชื้นสัมพัทธ์จะเพิ่มขึ้นจนกว่าจะถึง 100% อุณหภูมิที่ทำให้อากาศอิ่มตัว เรียกว่า จุดน้ำค้าง ถ้าอากาศจะเย็นลงอีกบางส่วนของความชื้นจะกลั่นตัว ถ้าอากาศยังคงต่อไปอีกความชื้นจะเริ่มกลั่นตัว ปริมาณของไอน้ำในอากาศจะมีอิทธิพลต่อการเปลี่ยนแปลงสภาพอากาศได้อย่างรุนแรง และเป็นสิ่งที่ทำให้เกิดการเปลี่ยนแปลงสภาพลมฟ้าอากาศ นอกจากนี้ความชื้นในอากาศจะมีการเปลี่ยนแปลงตลอดเวลา ค่าของความชื้นขึ้นอยู่กับความดัน และอุณหภูมิ ดังกราฟ

การวัดความชื้น
อุปกรณ์ที่ใช้ในการวัด และควบคุมความชื้น psychrometer หรือไฮโกรมิเตอร์ และ humidistat เป็นสวิทช์ความชื้นเรียกมักจะใช้ในการควบคุมการลดความชื้นในอากาศ ความชื้นของโลกสามารถวัดได้โดยใช้ดาวเทียมอยู่ระยะไกล ดาวเทียมเหล่านี้สามารถที่จะตรวจสอบปริมาณน้ำใน troposphere ที่ระดับความสูงระหว่าง 4 และ 12 กิโลเมตร ดาวเทียมสามารถวัดไอน้ำโดยใช้เซ็นเซอร์ที่มีความไวต่อรังสีอินฟราเรด ซึ่งมีความสำคัญในการตรวจสอบสภาพภูมิอากาศ เช่น การก่อตัวของพายุ และใช้ในการพยากรณ์อากาศได้อีกด้วย

ผลกระทบของความชื้น
-สัตว์และพืช ความชื้นเป็นปัจจัยหนึ่งที่กำหนดแหล่งที่อยู่อาศัย และปัจจัยที่ใช้ในการเจริญเติบโตของพืช และสัตว์ ร่างกายของมนุษย์มีการกระจายความร้อนออกจากร่างกายผ่านทางเหงื่อ การพาความร้อนของอากาศโดยรอบ และการแผ่รังสีความร้อนเป็นกระบวนหลักที่ร่างกายใช้ระบายความร้อนออกนอกร่างกาย ถ้าความชื้นสูงอัตราการระเหยของเหงื่อจากผิวหนังจะลดลง นอกจากนี้ถ้าบรรยากาศโดยรอบมีความชื้นสูง เลือดภายในร่างกายไม่สามารถระบายความร้อนออกได้ ทำให้ความเหนื่อยล้าของร่างกายเกิดขึ้นเร็ว อาจทำให้เกิดภาวะไข้ได้
-ความสะดวกสบายของมนุษย์มนุษย์มีความไวต่ออากาศชื้น เพราะร่างกายมนุษย์ใช้การระเหยของน้ำ เปรียบเสมือนการหล่อเย็น เป็นกลไกหลักในการควบคุมอุณหภูมิ บางครั้งมนุษย์จะหายใจลำบากในสภาพแวดล้อมที่มีความชื้นสูง เครื่องปรับอากาศจะช่วยในการลดความรู้สึกไม่สบายตัวในช่วงฤดูร้อน แต่ก็ไม่เพียงพอ อาจต้องมีการใช้งานร่วมกับเครื่องลดความชื้นเพื่อควบคุมความชื้นให้เหมาะสม นอกจากนี้ในสภาวะที่ความชื้นสัมพัทธ์ต่ำกว่า 30% จะทำให้รู้สึกไม่สบายตัว เช่น ผิวแห้ง และกระหายน้ำ เป็นต้น
-อิเล็กทรอนิกส์อุปกรณ์อิเล็กทรอนิกส์จำนวนมากจะได้รับผลกระทำจากความชื้น ถ้าความชื้นต่ำเกินไปอาจทำให้วัสดุเปราะและอันตราย วงจรภายในของอุปกรณ์อาจเกิดการลัดวงจรอาจก่อให้เกิดความเสียหายถาวรที่สำคัญหากอุปกรณ์เปิดอยู่ก่อนจากที่ไอน้ำเกิดการควบแน่นจับตัวภายในวงจร
-การก่อสร้างอาคารการออกแบบอาคารแบบดั้งเดิมมักจะมีฉนวนกันความร้อนที่ไม่ดี และความชื้นสามารถไหลผ่านได้จึงกระตุ้นให้เกิดเชื้อราภายในอาคารได้ สำหรับโครงสร้างต่างๆ ของอาคารที่ทำด้วยโลหะก็อาจเกิดสนิมได้เนื่องจากความชื้นในอากาศถ้าไม่ได้การดูแล และป้องกันอย่างเอาใจใส่


